티스토리 뷰
목차

화폐의 시간가치의 의미와 중요성을 설명하고, 그 실제 생활의 예를 서술하시오.
화폐의 시간가치란 동일한 크기의 현금흐름이라도 발생시간에 따라 서로 가치가 달라지는 것을 의미한다. 즉 현재의 1만원이 미래의 1만원보다 가치가 더 크다고 할 수 있는데 이는 시차선호(time preference)라는 개념이 존재하기 때문이다. 기업의 목표인 기업가치 극대화를 달성하기 위해서는 먼저 현재 시점의 기업 가치를 평가하고 이러한 기업 가치를 평가하기 위해서는 현재가치 개념을 적용하게 되며, 현재가치는 할인(discounting)이라는 원리가 적용된다.
현재의 소비를 미래의 소비로 지연하는 것에 대한 보상하는 화폐의 시간가치를 미래와 현재의 교환에 의해 동일한 가치를 갖는 현금흐름을 창출할 수 있는지 여부의 점검 수단으로 현재와 미래의 환산기준인 시장이자율 즉, 시차선호와 위험정도가 감안되어 화폐의 시간가치를 반영한 척도를 계산한다. 시장이자율은 화폐의 시장가치로 인해 발생하는 현재와 미래 사이의 소비와 재화 배분의 필수 지표로 재무의사결정에 매우 중요하고 유용하여 투자안의 투자수익률 평가 시 최소 평가 기준점으로 활용한다.
화폐의 시간가치로 인하여 명목금액이 동일하더라도 현금흐름의 시점이 다르다면 그 경제적 가치는 다르다. 시점을 달리하는 현금흐름들이 존재할 경우 그 경제적 가치를 비교하기 위해서는 기준되는 시점을 특정하여 그때의 화폐가치로서 평가를 해야하는 것이다. 현재를 기준으로 하여 모두 현재가치로 평가하든지 또는 미래의 일정시점을 기준으로 하여 모두 미래가치로 평가를 해야하는 것이다. 투자 또는 금융 상품 구매의 의사결정을 내리는 시점은 현재이므로 현재시점의 가치로 평가하는 것이 일반적이다. 그러므로 기업 실무에서 화폐의 시간가치는 경영의사결정에 보편화되고 있는 것이다. 새로운 사업진출․새로운 설비투자 등과 같은 투자의사결정은 물론이거니와 일반거래에서도 명시적 혹은 묵시적으로 널리 이용되고 있기 때문에 화폐의 시간가치는 경제활동에 보편적으로 적용되고 있는 중요한 개념이라고 할 수 있다.
화폐의 시간가치를 적용하는 경우는 다양하다고 할 수 있는데, 대표적으로 단일현금의 현재가치, 단일현금의 미래가치, 영구연금의 현재가치, 연금의 미래가치, 불규칙적 현금흐름의 현재가치 등이다.



1. 단일현금의 현재가치
단일현금의 현재가치라는 것은 미래에 발생하게 될 일정금액을 현재시점의 화폐가치로 평가한 금액으로 현재가치의 계산은 미래가치계산의 역순이다. 이러한 것은 만기에 발행금액을 받는 금융상품의 가격을 평가하는 경우에 사용된다.
* 현금가치의 계산 방법은 다음과 같고 여기서, k는 시장이자율을 의미하며, n은 기간을 의미한다.

예제: 100만원이 처음 기준이었고, 이자율이 10%라면 1년뒤면 100*1.1, 2년뒤면100*1.1^2가 된다.
2. 단일현금의 미래가치
단일현금의 미래가치는 정기예금에 목돈을 예치했을 때를 의미하는데, 복리냐 아니냐에 대한 차이가 있을 수 있지만, 단일현금의 미래가치는 복리로 계산을 하는 것이 상적이라고 할 수 있다.
* 미래가치의 계산 방법은

예제: 연리 8%로 복리로 지급되는 정기예금에 1,000,000원을 5년간 저축을 한 경우, 5년 말에 복리계산되어 수령하는 금액은 얼마인가? FVn=PV0(FVIF0.08,5)=1,000,000(1+0.08)5=1,000,000×1.4693=1,469,300(원)



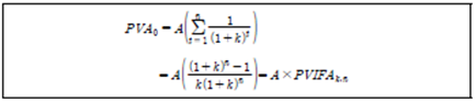
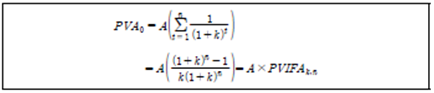
3. 연금의 현재가치
특정기간 동안 매년 말에 일정하게 지급되는 연금지급액을 현재가치로 환산하여 합한 금액으로 이 때 영구연금의 현재가치에서 처음으로 발생하는 동일 금액이 1년 후라는 것을 전제로 하고 있다.

예제: S씨는 10년간 매년 1,000만원씩 일정한 현금흐름의 수익을 얻을 수 있는 투자안에 대한 투자를 고려하고 있다. 이 투자안에 대해 현재 투입가능한 투자액은 6,145만원이라면 이 투자안의 투자수익률은 얼마로 정해야 하는가?
A=1,000만원, n=10이므로 PVA=A·PVIFA(7%, 10)=1,000·PVIFA(7%, 10)=6,145 위 식을 변형하면

k를 모르므로 연금의 현가계수표에서 기간 10년에 해당하는 행을 정한 다음에 6.145에 가장 근접하는 이자계수를 찾으면 PVIFA(10%, 10)=6.1446이라는 값이 가장 근접함을 알 수 있다. 따라서 k=10%가 투자안의 수익률이 된다.
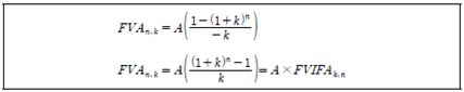
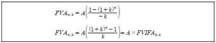
4. 연금의 미래가치
특정기간 동안에 걸쳐 일정금액이 정기적으로 계속 지급되는(지급받는) 일련의 현금흐름을 말한다.
* 연금의 미래가치(FVAn)

예제: K씨는 향후 10년 동안 매년 말에 100만원씩의 연금을 지급받는데, 이를 연리 6%로 복리계산되는 10년 만기 정기예금에 예입하려고 한다. 연금지급이 끝나는 10년 후에 인출가능한 총액, 즉 연금의 미래가치는 얼마인가?
A=100만원, k=6%이므로
FVAn= 100(1+0.06)9+100(1+0.06)8+100(1+0.06)7+ … +100(1+0.06)0




5. 영구연금의 현재가치
일정금액이 정기적으로 영구히 지급되는 일정(항상 동일한) 지급연금 형태이며 우선주의 배당금지급이나 영구채권의 이자지급에 사용된다.
* 영구연금의 현재가치

예제: 할인율이 5%인 경우 매년 100,000원씩의 이자가 영구히 지급되는 영구사채의 현재가치는 얼마인가?
A=100,000원, n=∞, k=5%이므로
PVA = A =100,000 / 0.05 = 2,000,000(원)
k
6. 불규칙적 현금흐름의 현재가치
각 시점마다 현금흐름의 크기가 다른 경우의 현재가치 계산으로 각 기간별 발생하는 현금흐름의 현재가치를 적절한 할인율로 할인한 다음에 개별 현재가치를 합산하여 계산한다.
예제: D건설이 현재 투자계획중인 투자안 P는 앞으로 3년 동안 현금유입이 1년 말에는 5,000만원, 2년 말에는 8,000만원, 3년 말에는 7,000만원이 예상된다. 이 투자안의 현재가치는 얼마인가?

'평생공부 > 자격 취득' 카테고리의 다른 글
| 생산관리 (0) | 2023.09.16 |
|---|---|
| 인적자원관리 (0) | 2023.09.16 |
| 회계 원리 (0) | 2023.09.15 |
| 열린 어린이집 세부 선정 기준 (0) | 2023.09.07 |
| 열린어린이집 선정·운영 계획 (0) | 2023.09.07 |